法规文件
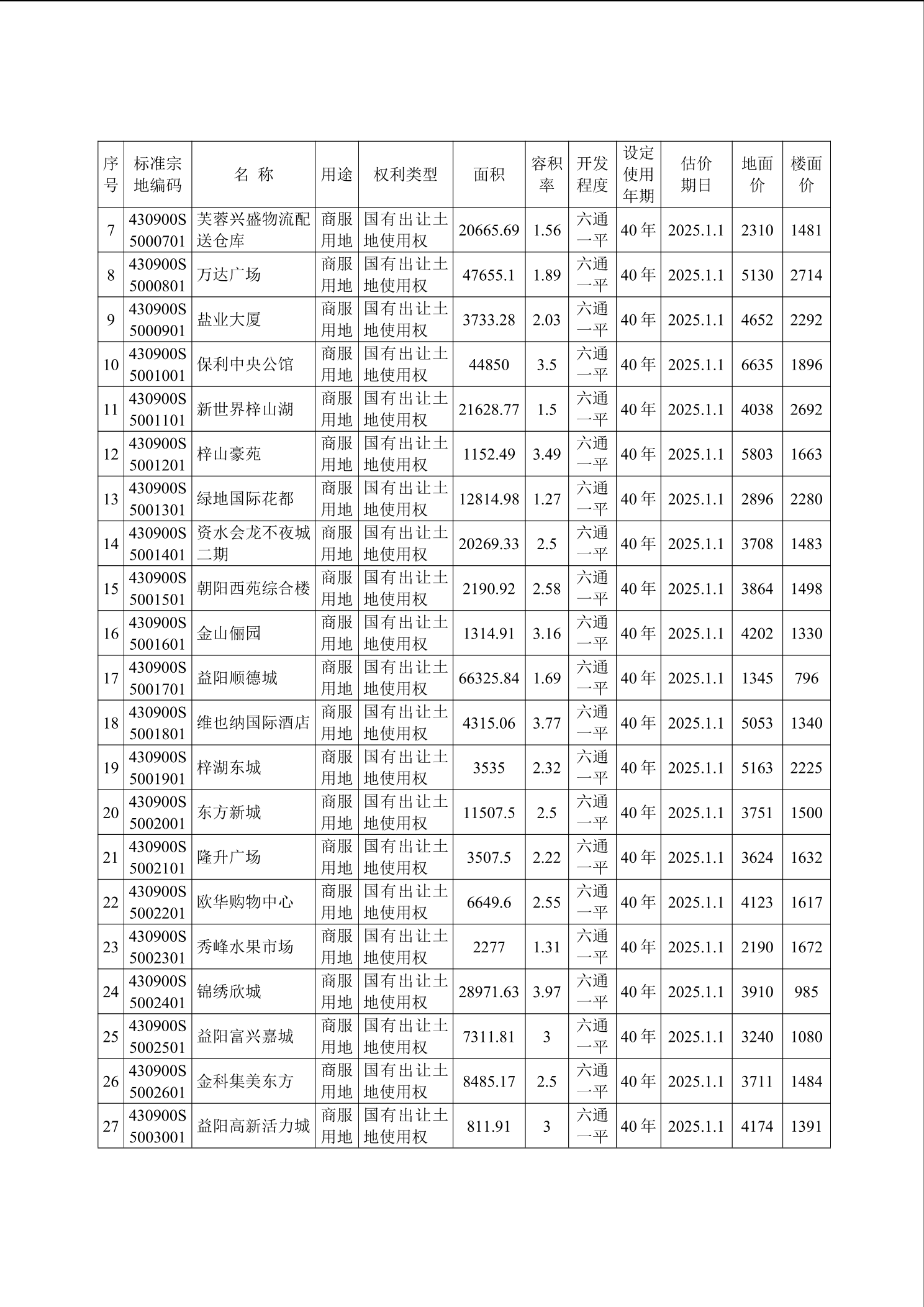
益阳市自然资源和规划局关于公布益阳市城区标定地价更新成果的通知
来源:市政府办 发布时间:2025-12-24
客户端
触屏版
电脑版
版权所有:中国益阳门户网
|