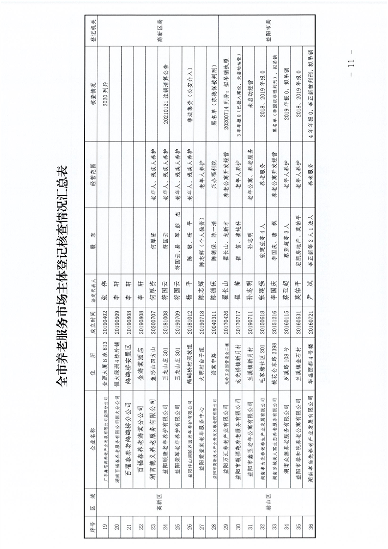
| 益阳市市场监督管理局关于印发《益阳市市场监管领域防范整治涉众型非法经营活动专项行动方案》的通知 |
| 点击数: 时间:2021-03-01 |
|
![]() ![]() ![]() ![]() ![]() ![]() ![]() ![]() ![]() ![]() ![]() ![]() ![]() ![]() ![]() ![]() ![]() ![]() ![]() ![]() ![]() ![]() |
|
| 来源:益阳市市场监督管理局 作者: | ||
| 益阳市市场监督管理局关于印发《益阳市市场监管领域防范整治涉众型非法经营活动专项行动方案》的通知 |
| 点击数: 时间:2021-03-01 |
|
![]() ![]() ![]() ![]() ![]() ![]() ![]() ![]() ![]() ![]() ![]() ![]() ![]() ![]() ![]() ![]() ![]() ![]() ![]() ![]() ![]() ![]() |
|
| 来源:益阳市市场监督管理局 作者: | ||